§ 9. Обучение студентов принципам конструирования системы лабораторных работ по элементарному курсу физики
   
   В части экспериментального обучения, посвященной школьному лабораторному эксперименту, мы показывали студентам, что для того, чтобы лабораторный практикум по элементарному курсу физики или его разделу мог рассматриваться как целостная система, являющаяся органическим элементом более крупной системы, необходимо
при его конструировании учитывать ряд принципов.
   1. В практикуме должны, по возможности, быть представлены все виды школьных лабораторных работ.
   К ним относятся работы по наблюдению и изучению физических явлений, процессов, состояний; получению численных значений физических величин, в том числе физических констант; исследованию зависимостей между физическими величинами; изучению физических приборов и механизмов.
   2. Работами практикума или заданиями, включенными в эти работы, должны быть охвачены все основные вопросы курса физики или его раздела.
   Например, при конструировании системы работ по курсу механики, необходимо охватить вопросы кинематики прямолинейного и вращательного движения, динамики, законов сохранения импульса и механической энергии, механической работы.
   3. Работы практикума должны быть тесно связаны с теоретическим курсом физики, закреплять и развивать полученные ранее знания.
   4. Последовательность выполнения работ учащимися не должна быть произвольной и должна определяться не наличием свободной лабораторной установки, а логикой развития физического знания.
   5. Должна быть предусмотрена возможность создания для каждого ученика (или группы учеников) индивидуального содержания физического практикума.
   Здесь имеется в виду, что ученик (группа учеников) при необходимости сможет выполнять на одних и тех же лабораторных установках, под схожие физические идеи, в одной и той же логике, разные экспериментальные задания.
   6. Инструкции к одним и тем же работам должны быть варьируемы, в их основе должны лежать ориентировки различного типа.
   С одной стороны, должна быть обеспечена максимальная самостоятельность ученика при выполнении каждой работы, включающая в себя и сборку установки, и построение теории, и выбор стратегии достижения цели, и способы исполнения работы.
   С другой стороны, должна быть обеспечена возможность оказания ученику оперативной помощи на любом этапе работы и по любой из перечисленных позиций.
   
Реализовать названные принципы можно, если:
   1. В основу системы лабораторного практикума положить сюжеты, рассматриваемые в элементарном курсе физики. Для курса механики такие сюжеты выделены выше.
   2. Инструкции к работам написать в таком виде, чтобы они в своем максимальном виде содержали всю информацию, необходимую для выполнения экспериментальных заданий.
   В то же время, максимальные инструкции должны состоять из независимых блоков, которые при необходимости можно было бы из них извлекать.
   3. Независимыми блоками инструкций могут быть следующие:
   - Тема работы.
   - Качественное описание процесса, подлежащего исследованию.
   - Математическое описание процесса, подлежащего исследованию.
   - Цель работы.
   - Идея работы.
   - Особенности эксперимента и экспериментальной установки.
   - Задания по выполнению работы с формой отчетности.
   4. К одному и тому же сюжету могут быть написаны альтернативные инструкции, в которых полностью, или почти полностью, будут совпадать качественное и математическое описание процесса, особенности экспериментальной установки. Это позволит обеспечить решение одних и тех же теоретических задач курса физики, во многих случаях сблизить уровень сложности работ. Различие же целей и заданий разведет практическую деятельность учеников при выполнении работ и индивидуализирует ее.
   5. Оптимальным вариантом реализации физического практикума представляется такой вариант, когда все лабораторные работы будут выполняться с использованием конструктора и по инструкциям проблемно - программированного характера, содержательная часть которых основана на описанных выше максимальных инструкциях.
   Нами разработаны альтернативные инструкции к работам физического практикума по элементарному курсу механики, представленные в пособии [423]. Из них 14 - являются базисными, наиболее полными работами, на основе которых построены остальные работы. Основная часть базисных работ посвящена изучению физических процессов и включает в себя несколько заданий. Производные работы, предполагают решение частных задач. Они, за некоторым исключением, короче и проще базисных работ.
   Ниже приведены примеры двух базисных инструкций к лабораторным работам, взятых из указанного пособия [423, с. 78-84; 130-132].
Лабораторная работа № 2
Изучение процесса соскальзывания бруска с наклонной плоскости
Качественное описание процесса соскальзывания бруска с наклонной плоскости
   Если наклонная плоскость расположена достаточно круто, а сила трения скольжения бруска по ее поверхности относительно невелика, то брусок, положенный на такую плоскость, будет соскальзывать с нее и двигаться с некоторым положительным ускорением. Дойдя до основания плоскости, брусок наберет некоторую скорость и, перейдя на горизонтальный участок пути, будет двигаться до остановки с отрицательным ускорением.
   На вершине горки брусок обладает запасом потенциальной энергии относительно ее основания. При движении бруска по наклонной плоскости часть его потенциальной энергии переходит в кинетическую энергию, часть расходуется на совершение работы по преодолению силы трения.
   При движении бруска по горизонтальной поверхности, оставшаяся кинетическая энергия бруска к моменту остановки полностью переходит во внутреннюю энергию, также за счет работы по преодолению силы трения на этом участке.
   Запас потенциальной энергии бруска зависит от силы тяжести, действующей на него. Но и работа против силы трения, также и в той же мере, зависит от силы тяжести, действующей на брусок. Это позволяет предположить, что перемещение бруска по горизонтальной поверхности не должно зависеть от его массы.
   В то же время, перемещение бруска по горизонтальной поверхности при постоянном угле наклона плоскости должно быть связано с коэффициентом трения скольжения: чем он меньше, тем больше перемещение. При этом, по известному перемещению можно найти значение коэффициента трения скольжения бруска по поверхности.
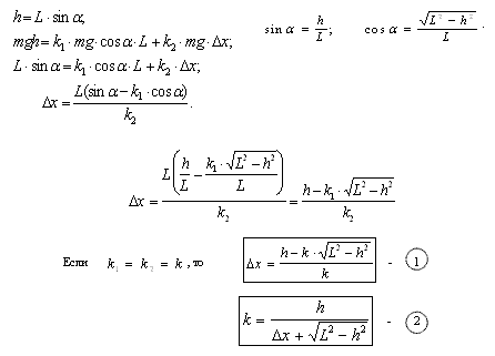
Математическое описание процесса соскальзывания бруска с наклонной плоскости
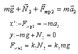
Описание процесса на силовом языке

Наклонная плоскость:
| Горизонтальный участок: |
Из кинематики: |
После подстановок: |
 |
 |
 |
Описание процесса на энергетическом языке
   Из уравнения 1 следует, что

, следовательно бруски разной массы, соскальзывая с одной и той же наклонной плоскости, должны по горизонтальной поверхности совершать равные перемещения.
   Уравнение 2 позволяет, измерив длину и высоту наклонной плоскости, а также перемещение соскользнувшего бруска по горизонтальной поверхности, найти значение коэффициента трения скольжения.
   Если коэффициент трения скольжения зависит от площади поверхности бруска, то перемещение по горизонтальной поверхности, при изменении этой площади, будет различным. Если не зависит, то одинаковым. Это следует из выражения:

.
B>Цель работы
   1. Исследовать зависимость перемещения бруска, соскальзывающего с наклонной плоскости, от его массы.
   2. Исследовать зависимость перемещения бруска, соскальзывающего с наклонной плоскости, от площади его поверхности.
   3. Определить значение коэффициента трения скольжения материала бруска по материалу дорожки.
Особенности экспериментальной установки и проведения эксперимента
   1. Если брусок положить на плоскость и эту плоскость медленно наклонять, то при некотором угле брусок после легкого подталкивания начнет равномерно соскальзывать с плоскости, доходя до ее основания.
   Для проведения работы следует установить наклонную плоскость под углом, значительно превышающим названный угол, но так, чтобы переход на горизонтальный участок не был слишком резким.
   2. Точность измерений зависит от значений высоты h, длины наклонной плоскости L, коэффициента трения k. Чем больше будут h и L и чем меньше k, тем большее перемещение совершит брусок по горизонтальной поверхности и тем точнее будет полученный результат.
   3. В данной работе, при повторении экспериментов, в силу разных причин, результаты будут несколько отличаться друг от друга, поэтому все опыты надо проводить несколько раз не меняя начальных установок, а среднее значение величин и погрешности измерений вычислять методом среднего арифметического.
Задания
   1. Установите наклонную плоскость согласно соображениям, приведенным выше.
   2. Дав возможность нагруженному бруску соскользнуть с наклонной плоскости, измерьте его перемещение по горизонтальной поверхности.
   3. Нагрузите брусок с помощью грузов и повторите опыт. Сделайте вывод относительно зависимости перемещения бруска по горизонтальной поверхности и коэффициента трения скольжения от его массы.
   4. Повторите опыт с ненагруженным бруском, устанавливая его на поверхность плоскости разными гранями. Сделайте вывод относительно зависимости перемещения бруска по горизонтальной поверхности и коэффициента трения скольжения от площади поверхности бруска.
   5. По известным значениям перемещения бруска по горизонтальной поверхности, высоты и длины наклонной плоскости, для различных серий опытов найдите значение коэффициента трения скольжения. Сделайте выводы.
| №
|
Sбр., м2 |
mбр., кг |
h,м |
L,м |
Dx,м |
k |
kср. |
Dk |
Dkср |
Dkср/kср |
|   |
  |
  |
  |
  |
  |
  |
  |
  |
  |
  |
   Где : № - Номер проводимого эксперимента; S
бр., - площадь поверхности бруска, соприкасающаяся с поверхностью, по которой происходит скольжение; m
бр.- масса бруска; h- высота наклонной плоскости; L- длина наклонной плоскости;
Dx - перемещение бруска по горизонтальной поверхности; k - коэффициент трения скольжения бруска по поверхности; k
ср.- среднее значение коэффициента трения скольжения, полученное в данной серии экспериментов;
Dk - абсолютная ошибка при определении коэффициента трения скольжения;
Dk
ср - среднее значение абсолютной ошибки при определении коэффициента трения скольжения;
Dk
ср/k
ср - относительная ошибка при определении коэффициента трения скольжения.
   6. Придумайте способы проверки правильности полученного значения коэффициента трения скольжения. Кратко изложите идею соответствующих опытов и проведите их.